Carbonyls Notes

Carbonyls can be broken down in to the following sections;

  • Structure of a Carbonyl

  • Aldehydes and Ketones

  • Carboxylic Acids and Esters

  • Acylation

Structure of a Carbonyl

Carbonyls contain a Carbon-Oxygen double bond, the carbon is delta positive and the oxygen is delta negative, this is due to the oxygen having a greater electronegativity.

The shape is generally trigonal planar with a bond angle of 120.

Aldehydes and Ketones

Physical properties of aldehydes and ketones

Aldehydes, RCOH, and ketones, RCOR, will both have Van Der Walls and due to the asymmetrical nature of carbonyls will also have a permanent dipole as their intermolecular forces. There is no hydrogen bonded to F, O, or N so there is no hydrogen bonding. Short chained aldehydes and ketones are soluble in water, as the chain length increases they become less soluble.

Oxidation of Aldehydes and Ketones

Ketones generally do not oxidise, unless a very powerful oxidising agent is used in which case the products involve carbon dioxide and water. This is because the more stable C-C bond is present instead of the less stable C-H bond.

Aldehydes can be oxidised to a carboxylic acid, oxidising agents are often written as [O] in chemical equations and the most common oxidising agent is K2Cr2O7/H+, acidified potassium dichromate. Other oxidising agents include KMnO4/H+, potassium manganate, or H2O2. Hydrogen peroxide.

As ketones can generally not be oxidised but aldehydes can, this can be used as a test to distinguish between the two.

The Silver Mirror Test / Tollen’s

Tollen’s reagent is a silver ammonia complex which is an oxidising agent and produces elemental silver which deposits on the surface of glassware as a silver mirror.

RCHO + [Ag(NH3)2] —> RCOOH + Ag + 2NH3

Fehling’s Test

Fehling’s reagent contains Copper (II) Oxide which is reduce to Copper (I) oxide while oxidising the aldehyde. Copper (II) Oxide blue in solution which will when in the presence of aldehydes turn green and then a brick red precipitate of Copper (I) Oxide.

RCHO + 2CuO —> RCOOH + Cu2O

Nucleophilic Addition Reactions

Due to the carbon in the carbonyl being delta positive it will undergo nucleophilic addition by nucleophiles. The nucleophiles we need to use are the cyanide ion, CN- and hydride ion, H-.

Nucleophilic addition with CN-

KCN is the most common source of the CN- ion, when using KCN the solution can not be acidified, if it was to be acidified it would release toxic HCN gas. The aldehyde is reacted with KCN and then followed by the addition of HCl. The same reaction can be done with a ketone

              RCHO + HCN —> RCH(OH)CN

              RCOR + HCN —> RC(OH)(CN)R

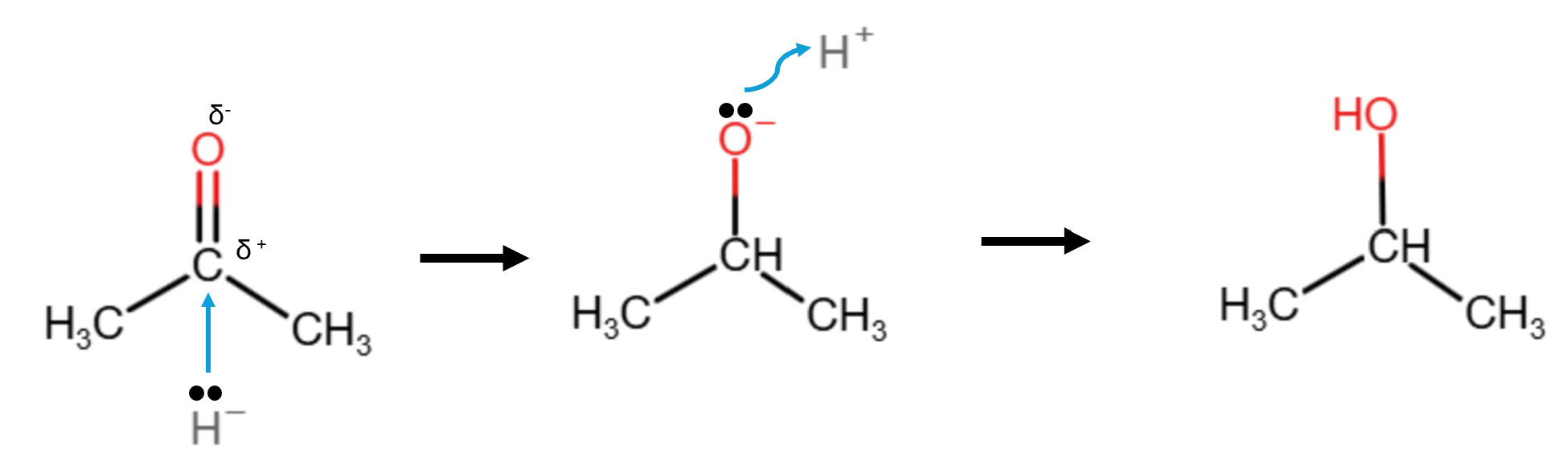
Nucleophilic addition of H- / Reduction

Aldehydes and ketones can be reduced in to alcohols using hydride ions. H-, they are normally produced by NaBH4 (aq), sodium borohydride in water. Reducing agents can be represented by [H]. Aldehydes will reduce to primary alcohols and ketones will reduce to secondary alcohols.

 RCOR + 2[H] —> RCHOHR

RCHO + 2[H] —> RCH2OH

Carboxylic Acids and Esters

Carboxylic acids have a hydroxy group, OH, attached to the carbon of a carbonyl, RCOOH. Carboxylic acids will have Van Der Walls, Dipole-Dipole, and Hydrogen bonding, because of these the melting and boiling points of carboxylic acids are higher than other molecules with a similar Mr. Smaller chained carboxylic acids are soluble in water are less soluble as the chain length increases.

Carboxylic Acids as Weak Acids

The hydrogen on the hydroxide of the carboxylic acid function group is acidic, it will dissociate into a proton leaving a carboxylate ion. The negative charge is spread across both of the oxygen atoms, if there is electron withdrawing atoms on the other side of the carbonyl it will stabilise the negative charge and make the acid stronger.

Reactions of Carboxylic acids

Carboxylic acids will react with carbonates to form carboxylate salts, carbon dioxide, and water.

Carboxylic acids will react with an alcohol with an acid catalyst in equilibrium to produce an ester, it is known as a condensation reaction as a small molecule is also produce, in this case water.

Reactions of Esters

Esters are used in solvents, plasticizers, perfumes and food additives they often have a sweet fruity smell.

Esters can react with water to form a carboxylic acid and an alcohol, this is known as hydrolysis. It is again in equilibrium. This reaction means that some polyesters may be biodegradable.

The hydrolysis of esters can also be performed with a strong base catalyst. The process is still reversible, so potentially an equilibrium, but one of the products of hydrolysis is carboxylic acid which will further react with the strong base and remove it self from the reversible reaction and the process will ultimately consume all of the reactant. The end products will be a carboxylate salt and alcohol.

Animal and Vegetable fats are esters of glycerol and fatty acids. Glycerol is a triol and fatty acids are carboxylic acids with carbon chains of length of 2-26 carbons, the most common being 18.

Saponification

Animal and vegetable fats can be reacted with sodium hydroxide to produce glycerol and salts of fatty acids. The salts of fatty acids are used as soaps. Glycerol is used in pharmaceuticals, food production and as a plasticiser in plastics.

Biodiesel Production

Vegetable oils, like rape seed oil, is reacted with methanol using a potassium hydroxide catalyst to produce glycerol and methyl esters of fatty acids, these esters can be used as biodiesels.

Acylation is the Nucleophilic Addition-Elimination reaction between a nucleophile and an acyl chloride or acid anhydride.

The products of these reactions using acyl chloride is often hydrogen chloride which is a very toxic and corrosive gas, the alternative is the less expensive reagent which is an acid anhydride, most commonly ethanoic anhydride, which will produce ethanoic acid as a by-product which is considerably less corrosive and non-toxic.

Mechanism of acylation

Ethanoyl Chloride and water

In each of these mechanisms the first thin to do is to draw on delta charges and lone pairs. The first arrow to draw is from the lone pair to the carbon oft the carbonyl, the second arrow is drawn in the same step, it starts on the double bond of the carbonyl and points to the oxygen of the carbonyl.

 When drawing the transition state there must be a positive charge on the nucleophile and a negative charge on the oxygen of the carbonyl. The arrow for the mechanism starts at the negative charge on the oxygen and points towards the bond in the carbonyl, the second arrow is from the bond between the carbonyl and chlorine to the chlorine. This will generate chloride, which is the leaving group.

The proton from the nucleophile then leaves and combines with the chloride ion to produce hydrogen chloride.

Ethanoyl Chloride and alcohol

In the mechanism below it is extremely similar to the reaction above, the arrows are drawn in the same order with all the same charges, the only difference is that there is an aliphatic group on the nucleophile instead of a second H.

Ethanoyl Chloride with ammonia

The mechanism below is again similar to the above mechanisms with the only difference being the nucleophiles lone pair is on a nitrogen and the proton is removed by the ammonia acting as a base in the final step and the final by-product is ammonium chloride.

Ethanoyl Chloride with a Primary Amine

The final mechanism needed for acylation with ethanoyl chloride is below, it is very similar to the reaction above.

Ethanoic Anhydride and Water, Alcohol, Ammonia, and Primary Amines

The mechanisms below are again very similar to the above, the only difference is that the “leaving group” has changed from a chloride to an ethanoate.

Ethanoic Anhydride and Water

Ethanoic Anhydride and Alcohol

Ethanoic Anhydride and Ammonia

Ethanoyl Chloride and a Primary Amine